Boek je Amerikareis via een echte USA-expert: Klik hier om alle prijzen voor je USA-reis te vergelijken: vliegtickets, autohuur, rondreis, en meer!
Belangrijk: Nieuwe leden, voltooi je registratie door een nieuw onderwerp te starten in "Nieuwe forumleden introductie"!

Corona Virus / Oplossingen...

Als je reisvraag niet over een specifieke staat of regio gaat, hoort het hier thuis.
Gebruikersavatar
Old Faithful
Amerika-expert
Berichten: 6104
Lid geworden op: 21 dec 2007, 14:38
Aantal x V.S. bezocht: 9

Re: Corona Virus / Oplossingen...

Bericht door Old Faithful »

Terpies schreef:
22 apr 2020, 21:33
https://www.nu.nl/coronavirus/6046518/t ... r-500.html

Zelfs Ernst Kuipers, voorzitter van het Landelijk Netwerk Acute Zorg (LNAZ), geeft aan dat we best voor 20 mei verder kunnen versoepelen:
Tot 11 mei, de dag dat basisscholen weer opengaan, daalt het aantal Nederlandse coronapatiënten op de intensive care naar ongeveer vijfhonderd.
Volgens Kuipers daalt het aantal ic-patiënten de komende tijd zo hard, dat wat hem betreft niet tot 20 mei gewacht hoeft te worden op verdere versoepeling van de maatregelen."We hoeven niet te wachten op 20 mei, voordat de nieuwe plannen klaar zijn en we misschien ook al een start hebben gemaakt met de volgende versoepelingsstap", aldus Kuipers.
Volgens hem werd al rekening gehouden met het heropenen van basisscholen. "Maar iedereen wil weten: wat gebeurt daarna?"

Kuipers ziet dat versoepeling op dit moment langzaam gaat en noemt dat "in deze fase verstandig". "Maar laten we niet stil blijven zitten en plannen maken voor de volgende fase", voegt hij daaraan toe.
Kijk even naar de rode tekst. Dan is het m.i. toch een stuk minder zeker dat hij vindt dat
we best voor 20 mei verder kunnen versoepelen
Kuipers zei daarbij ook nog dat hij vanuit zijn eigen perspectief sprak. Diederik Gommans was het niet met hem eens.
In feite wijkt het niet zo veel af van Rutte toen die zei dat hij niet zou wachten met versoepelen, als hij een advies met ruimte daarvoor van het OMT zou krijgen.
Het geeft m.i. nog maar eens aan hoe moeilijk de opgave is waar Rutte en zijn regering voor staan.
Groet,

Old Faithful
Gebruikersavatar
Old Faithful
Amerika-expert
Berichten: 6104
Lid geworden op: 21 dec 2007, 14:38
Aantal x V.S. bezocht: 9

Re: Corona Virus / Oplossingen...

Bericht door Old Faithful »

Almere vak V schreef:
22 apr 2020, 13:58
roelb schreef:
21 apr 2020, 21:24
Geen bestuurder die op versoepeling durft aan te dringen op basis van het bredere plaatje en een visie waarbij hij of zij zal moeten toegeven dat we met zijn allen een bepaalde mate van risico zullen moeten accepteren. Iemand die dat wel doet is direct de gebeten hond. Het advies van experts volgen (hoe eenzijdig die groep experts ook is) is daarentegen betrekkelijk veilig.
Ik begin me steeds meer af te vragen of er in die groep ook iemand zit die vroeger economie in zn pakket heeft gehad op de MAVO of zo...
Mark Rutte staat bekend als een politicus die het belang van de economie meestal niet onderschat. Zijn partij wordt niet voor niets de ondernemerspartij genoemd. Toch komen er uit ondernemerskringen signalen dat ze hem te voorzichtig vinden bij het versoepelen van de maatregelen of in ieder geval bij het bieden van perspectief.
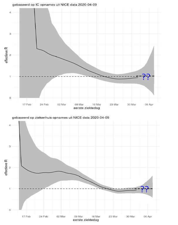
Ik heb eens nagedacht waar die voorzichtigheid van Rutte vandaan zou kunnen komen. Ik denk dat daarbij de ontwikkeling van het reproductiegetal (R0) een belangrijk gegeven is.

R0>1 betekent een toename van de epidemie en R0<1 zal de epidemie uiteindelijk uitdoven. In de grafieken hieronder is te zien dat R0 bij het begin van de uitbraak duidelijk boven 1 lag, waardoor de epidemie zich snel kon uitbreiden. Na 16 maart is R0 (waarschijnlijk) onder 1 gekomen maar niet ver en daalt sinds die tijd niet of nauwelijks, ondanks de intelligente lockdown. Ik denk dat hier de verklaring ligt voor de voorzichtigheid van Rutte. Hij is bang dat een te snelle versoepeling van de maatregelen R0 weer boven 1 zal brengen.
RIVM-R0.JPG
RIVM-R0.JPG (44.89 KiB) 4180 keer bekeken
Bron: PowerPoint presentatie dhr. van Dissel-RIVM-Update coronavirus.
Almere vak V schreef:
22 apr 2020, 13:58
PSVwally schreef:
22 apr 2020, 00:07
Misschien omdat we zonder de maatregelen én over onze IC capaciteit waren gegaan én er nog veel meer doden dan nu in de verzorgingstehuizen zouden zijn geweest? Kan die paniek best begrijpen.
Ik ook. Maar daar heeft onze overheid toch bewust voor gekozen??
Almere vak V schreef:
22 apr 2020, 13:58
De overheid is het eigen falen aan het verdoezelen. Men probeert nu een medicijn te vinden tegen ouderdom en ongeneeslijke ziekte tegelijkertijd. Het was slimmer geweest om niet te bezuinigen op een tak die onder druk staat door een vergrijzende samenleving. Iets wat elke hobby demograaf in 2 minuten kan uitleggen. Al jaren geleden...

Maar we leven toch in een democratie. Wie heeft die overheid gekozen?? We wisten toch welke politieke partijen deze bezuinigingen op de agenda hadden en hebben staan.
Niemand zag dit aankomen. Had de overheid voor onbenutte overcapaciteit op de Intensive Care afdelingen gekozen, de verwijten van verspilling van belastinggeld waren niet van de lucht geweest.
Almere vak V schreef:
22 apr 2020, 13:58

Die hebben vrijwel geen maatregelen genomen. Laten de economie gewoon doordraaien en staan dan op plek 7 tussen landen die hun economie volledig naar de kloten aan het helpen zijn. And the winner is?!
We zijn nog niet aan het einde. Het is maar afwachten of ze het er in Zweden uiteindelijk beter af brengen dan Nederland. Situaties zijn ook niet te vergelijken. Zelfs binnen Nederland zien we grote verschillen. In Noord Nederland zijn beduidend minder besmettingen dan in Zuid en Midden Nederland. Dat kan m.i. (niet gebaseerd op wetenschappelijk onderzoek) te maken hebben met bevolkingsdichtheid, mobiliteit van de bevolking, de afwezigheid van grote evenementen als carnaval begin maart en het feit dat er minder wintersporters het virus uit Noord Italië hebben meegebracht, omdat de voorjaarsvakantie daar een week eerder viel toen er ook in Noord Italië nog minder verspreiding van het virus was. Daardoor was het virus in Noord Nederland veel minder verspreid op het moment dat in Uden e.o. de situatie duidelijk begon te worden.
We zijn het er toch over eens dat onze regering in elk geval op dat moment niet meer de optie had om net als in Zweden vrijwel geen maatregelen te nemen?
Groet,

Old Faithful
jerommeke10
Amerikakenner
Berichten: 808
Lid geworden op: 18 jan 2011, 23:46

Re: Corona Virus / Oplossingen...

Bericht door jerommeke10 »

Hij is bang dat een te snelle versoepeling van de maatregelen R0 weer boven 1 zal brengen.
Dat cijfertje is maar een cijfertje natuurlijk. Weliswaar eentje met belangrijke gevolgen. Voor welk (e) gevolg(en) is hij dan bang? Het aantal zieken? Het aantal doden? De capaciteit van IC? Want dat gaat bepalen hoe lang we dan binnen moeten blijven.
Gebruikersavatar
Old Faithful
Amerika-expert
Berichten: 6104
Lid geworden op: 21 dec 2007, 14:38
Aantal x V.S. bezocht: 9

Re: Corona Virus / Oplossingen...

Bericht door Old Faithful »

In het advies van het OMT staat dat een mate van voortgaande circulatie van het coronavirus geaccepteerd wordt, mits een drempel van bij die circulatie onder de bevolking benodigde zorgcapaciteit en IC-bedden niet overschreden wordt. Daarbij moeten afwegingen gemaakt worden die ook de inzet van capaciteit en zorg voor andere ziektebeelden dan COVID-19 raken.
Bron: https://www.rijksoverheid.nl/documenten ... t-covid-19
Groet,

Old Faithful
jerommeke10
Amerikakenner
Berichten: 808
Lid geworden op: 18 jan 2011, 23:46

Re: Corona Virus / Oplossingen...

Bericht door jerommeke10 »

Dat is dan helder en naar mijn mening ook verdedigbaar. Je kan dan het opheffen/aanhouden van de lockdown aan dit criterium aftoetsen.

Tenminste in België is het probleem dat die bekommernis aan het afglijden is naar '100% bescherming voor wie aan de slag moet'. Vooral langs de kant van de werknemers, en vooral in die sectoren waar de vakbonden veel macht hebben (onderwijs, transport,...) zie ik dat. Terwijl de zelfstandigen zo snel mogelijk aan de slag willen, soms met wat weinig begrip voor de ernst van de situatie.

Dat is een probleem, want dan wordt elk rationeel debat onmogelijk en verzanden we in emotionele argumenten, heel vaak gestoeld op eigenbelang.
Gebruikersavatar
Old Faithful
Amerika-expert
Berichten: 6104
Lid geworden op: 21 dec 2007, 14:38
Aantal x V.S. bezocht: 9

Re: Corona Virus / Oplossingen...

Bericht door Old Faithful »

jerommeke10 schreef:
23 apr 2020, 21:28
Terwijl de zelfstandigen zo snel mogelijk aan de slag willen, soms met wat weinig begrip voor de ernst van de situatie.
In Nederland zie je ook dat dat ondernemers zo snel mogelijk weer aan de slag willen. Het tweede deel van jouw zin is naar mijn waarneming hier minder van toepassing. De meesten zien wel degelijk de ernst van de situatie in en hebben begrip voor de dilemma's waar de regering voor staat. Dat zij wat meer nadruk leggen op hun eigen situatie is heel begrijpelijk. Je eigen leed is altijd het ergste. Het probleem is dat er voor de crisis die dit virus veroorzaakt geen gemakkelijke oplossing is en als die er al wel zou zijn, niemand met zekerheid kan zeggen wat die oplossing is.
Groet,

Old Faithful
Gebruikersavatar
PSVwally
Amerika-expert
Berichten: 19494
Lid geworden op: 09 sep 2010, 22:51
Aantal x V.S. bezocht: 5
Contacteer:

Re: Corona Virus / Oplossingen...

Bericht door PSVwally »

Tenminste in België is het probleem.....
In België is óók het probleem dat je constant tegen allerlei bestuurlijke verdeeldheid aanloopt door de indeling van de overheid. Als bv al uw 7 of 8 ministers van volksgezondheid eens met één mond zouden gaan praten.
WeernaardeVS
Amerikafan
Berichten: 295
Lid geworden op: 28 aug 2017, 13:38
Aantal x V.S. bezocht: 7

Re: Corona Virus / Oplossingen...

Bericht door WeernaardeVS »

roelb schreef:
22 apr 2020, 13:54
Ik denk trouwens ook dat je veel minder moet verplichten, en veel meer verantwoordelijkheid bij mensen zelf moet neerleggen. Mensen uit een risicocategorie zijn zich daar zelf echt wel bewust van. En als je die goed voorlicht over hoe ze zich het beste kunnen gedragen dan komt dat echt wel goed.
Ik volg al een tijdje de discussie en aangezien ik het een hele lastige vind, hield ik mij er buiten. Maar nav de opmerking van Roel toch een reactie.

Inderdaad zal iedereen uit een risicogroep weten hoe hij zich wil/kan/moet gedragen om de kans op besmetting te verkleinen. Er is daarin ook een groep die vindt dat "het allemaal wel meevalt". De groep die zich wel serieus zorgen maakt en alle kans op besmetting probeert te vermijden is daarbij afhankelijk van hun omgeving, die soms ook vindt dat "het allemaal wel meevalt".
In onze situatie : twee net 50+'ers, studerende 18-jarige dochter, waarvan 1 ouder in de risicogroep valt. En helaas een serieus risico loopt. Waarschijnlijk niet gelijk op overlijden, maar wel om een donororgaan te verliezen, met alle consequenties van dien. Buiten lopen in de omgeving is er niet meer bij, mensen (vaak categorie 20 - 50 jaar) houden te vaak geen 1,5 meter afstand. Het gevolg is binnen zitten, afgezien van een wandeling op zaterdag in bepaalde bos/duingebieden waar het rustig is en mensen afstand houden als je ze tegenkomt. Thuiswerken kan gelukkig, maar is op de lange termijn geen haalbare kaart om je werk goed te kunnen blijven doen. Binnenblijven tot er een vaccin is? Afgezien van het feit dat dat mogelijk niet gelijk bruikbaar is op risicogroepen, kan dit nog wel even duren.
Ook voor de rest van het gezin is het een behoorlijk pittige situatie, wat iedereen die in een soortgelijke situatie zit denk ik kan beamen. Dochter zal toch op een gegeven moment weer terug naar de universiteit moeten en helaas heeft zij een studie met veel praktijk/fysieke contacten.

Dus om de verantwoordelijkheid grotendeels alleen bij een risicogroep (en hun familie) neer te leggen heb ik wat moeite mee. Als risicogroep ben je ook afhankeliijk van het sociale gedrag van je medemens.
2019: rondom Las Vegas
2018: Noord-West USA (San Francisco - Seattle v.v.)
2017: Florida
2011: Yellowstone, Grand Teton en Rocky Mountains NP
2008: Hawaii
2007: Florida en Canada
2002: rondje Las Vegas
Elendan
Amerikakenner
Berichten: 821
Lid geworden op: 30 mar 2015, 12:59
Aantal x V.S. bezocht: 8

Re: Corona Virus / Oplossingen...

Bericht door Elendan »

Vind het heel vreemd om te lezen dat m.n. mensen tussen 20-50 geen of te weinig afstandhouden, mij vat het tegendeel juist iedere dag op. Elke keer dat ik naar de winkel ga dan is er een ouder iemand, die vlak langs me loopt. Het lijkt wel of ze je helemaal niet zien, ze zijn gefocust op wat ze nodig hebben en lopen rücksichtslos op hun doel af.
Zelf houden mijn man en ik erg rekening met de afstand, mijn manzelfs nog meer dan ik, maar dat geldt zeker niet voor alle ouderen die ik zie. Gisteren stonden er nog twee stelletjes voor mijn deur die elkaar toevallig tegen kwamen bij het fietsen. In het begin stonden ze ver uit elkaar en na 10 minuten stonden ze alle vier op een kluitje.

Echt ik verbaas me over het gedrag van die 'risico groep'. Mijn ouders allebei in de 70 net zo goed. Houd ik afstand komt mijn moeder vlak naast me staan. Als ik langs wil lopen, dan wacht ik tot ze opzij stapt of achteruit gaat, maar dat moet ik elke keer weer zeggen.

Laat iedereen gewoon zijn eigen gezonde verstand gebruiken en hou je aan de 1,5 meter of 2 meter zelfs.
reisverslagen: 2025 rondje Denver, 2024 rondje Salt Lake City, 2023 Chicago-Las Vegas, 2022 rondje Phoenix, 2019 Noord Californië + Oregon, 2017 rondje Las Vegas, 2015 Chicago-Denver
link naar verslagen: https://www.pindat.com/reisblog/ellens.reizen
Gebruikersavatar
PSVwally
Amerika-expert
Berichten: 19494
Lid geworden op: 09 sep 2010, 22:51
Aantal x V.S. bezocht: 5
Contacteer:

Re: Corona Virus / Oplossingen...

Bericht door PSVwally »

WeernaardeVS schreef:
24 apr 2020, 09:36
Ik denk trouwens ook dat je veel minder moet verplichten, en veel meer verantwoordelijkheid bij mensen zelf moet neerleggen. Mensen uit een risicocategorie zijn zich daar zelf echt wel bewust van. En als je die goed voorlicht over hoe ze zich het beste kunnen gedragen dan komt dat echt wel goed.
Inderdaad zal iedereen uit een risicogroep weten hoe hij zich wil/kan/moet gedragen om de kans op besmetting te verkleinen. Er is daarin ook een groep die vindt dat "het allemaal wel meevalt". De groep die zich wel serieus zorgen maakt en alle kans op besmetting probeert te vermijden is daarbij afhankelijk van hun omgeving, die soms ook vindt dat "het allemaal wel meevalt".
Echt ik verbaas me over het gedrag van die 'risico groep'
Dus om de verantwoordelijkheid grotendeels alleen bij een risicogroep (en hun familie) neer te leggen heb ik wat moeite mee. Als risicogroep ben je ook afhankeliijk van het sociale gedrag van je medemens.
Ik denk wel dat je dit moet splitsen tussen mensen die bij de risicogroep horen omdat ze oud zijn en aanverwante gezondheidsklachten hebben en gewoon oude mensen. Als je 60+ bent heb je verhoogt risico. Als je 50+ bent en gezondheidsklachten hebt hoor je m.i. in een groep met een nog groter risico.
Ik kreeg gisteren een 5-tal ouderen binnen in mijn winkel (ik schat minimaal 60/65 jaar) die aan het fietsen waren. Mondkapjes op, handschoentjes aan, maar even bij ons wat bloemetjes wilden kopen en daarna naar de langsgelegen supermarkt wilde op het einde van hun 30km lange fietstocht. Na een praatje, want ik meld het toch echt dat het de bedoeling is dat er maar 1, hooguit 2 man, van een groep moeten komen winkelen, kwam ik erachter dat 3 van de 5 de beschermingsmiddelen droegen omdat ze vonden dat ze tot een hogere risicogroep behoorde. Ik weet dus echt niet wat ik daar dan qua zelfbeschermend gedrag van moet vinden. Aan de ene kant beschermen ze zich met middelen, aan de andere kant moeten ze juist niet die toertochten gaan maken met een groep (ga dan alleen met je eigen vrouw/man zou ik zeggen.) Zeker niet als ze zichzelf in een hoge risicogroep vinden vallen. Dan moet je gewoon thuisblijven. Helaas voor dat bloemetje.
Maar waar jongeren staan te popelen om weer op een pleintje onder elkaar te kunnen komen leeft datzelfde gevoel bij veel oudjes ook echt hoor.

Maar ik heb wel moeite met dat eigen verantwoordelijkheid, want daarin 'verpest' de kleinere groep die zich er niet aan houdt het altijd voor de grotere groep. Ik ben het overigens zeker wel met Roel eens dat je in bepaalde sectoren zaken goed zou kunnen regelen.
Gebruikersavatar
Almere vak V
Amerika-expert
Berichten: 2994
Lid geworden op: 23 jan 2017, 23:37

Re: Corona Virus / Oplossingen...

Bericht door Almere vak V »

ADE01 schreef:
23 apr 2020, 01:29
CNN leeft op chaos. Dat is al lang geen onafhankelijk en kwaliteits informatie meer.
Helaas inderdaad. Het CNN van tientallen jaren geleden wat op een objectieve manier het wereldnieuws wist te verslaan is helaas al langere tijd verdwenen. Het tv-kanaal kan ik me soms nog enigszins in vinden. Maar vooral de website ontstijgt het niveau van de lokale schoolkrant amper. Ronduit stuitend.

Helaas moet ik vanochtend vaststellen dat de Nederlandse media geen haar beter is. Ik heb de persconferentie van Trump nu 5 keer bekeken. Maar ik hoor m echt nergens zeggen dat je bleekmiddel moet injecteren. Ronduit schandelijk!
WeernaardeVS schreef:
24 apr 2020, 09:36
Dus om de verantwoordelijkheid grotendeels alleen bij een risicogroep (en hun familie) neer te leggen heb ik wat moeite mee. Als risicogroep ben je ook afhankeliijk van het sociale gedrag van je medemens.
Volledig mee eens! Echter als ik constateer dat het sociale gedrag van de medemens te wensen overlaat zal ik er zorg voor dragen dat ik dat mijd. Of de plekken probeer te mijden waar dat voorkomt. Moet ik er toch zijn dan zal ik de benodigde voorzorgsmaatregelen nemen.

Ik heb het al vaker ook hier gezegd. Wij denken een heel sociaal land te zijn. En als je dat maar vaak genoeg en vooral hard genoeg schreeuwt gaan de meesten het zelf nog geloven ook. Maar wij zijn het absoluut niet. Ik roep dan altijd voor de gein je mag wel een dagje mn dochter lenen die in een rolstoel doen. Ga is een leuk uitje met dr doen en kijk waar je letterlijk en figuurlijk allemaal tegenaan loopt. Het is ronduit beschamend. Doe hetzelfde in de VS, of bijvoorbeeld in Duitsland en je zult een wereld van verschil merken.

Ik ben het dan ook volledig eens met @roelb. Geef als overheid heel duidelijk aan wie en wat de risico's zijn. Daar kan je wat mij betreft niet volledig dan wel expliciet genoeg in zijn en laat iedereen dan zelf de keuze maken. En laat de overheid dan in de gaten houden hoe ver we hier in kunnen gaan en de capaciteit in de ziekenhuizen bewaken.

Ik heb begin van de week een keer een overzichtje gemaakt aan de hand van de sterftecijfers in Nederland.

Afbeelding

Op de 1 of andere manier krijg ik het plaatje met cijfers er niet in. Excuus...

In zn algemeenheid en aan Corona in het bijzonder. Als je onder 75 jaar bent heb je in Nederland een kans van 1,83% om te sterven aan de gebruikelijke dagelijkse dingen. Op dit moment is de kans dat je aan Corona sterft, als je onder de 75 bent, 1%.

Om het voor iedereen duidelijk te maken:
- Je bent tussen de 70 en 75 en er wordt tegen je gezegd. Je kunt een normaal leven leiden. Ik heb hier een pot met 100 pillen. Je moet er eentje nemen. Maar 1 van deze pillen is dodelijk. Wat doe je ?
- Je bent tussen de 65 en 70 en er wordt tegen je gezegd. Je kunt een normaal leven leiden. Ik heb hier een pot met 196 pillen. Je moet er eentje nemen. Maar 1 van deze pillen is dodelijk. Wat doe je ?
- Je bent tussen de 60 en 65 en er wordt tegen je gezegd. Je kunt een normaal leven leiden. Ik heb hier een pot met 454 pillen. Je moet er eentje nemen. Maar 1 van deze pillen is dodelijk. Wat doe je ?
- Je bent tussen de 55 en 60 en er wordt tegen je gezegd. Je kunt een normaal leven leiden. Ik heb hier een pot met 909 pillen. Je moet er eentje nemen. Maar 1 van deze pillen is dodelijk. Wat doe je ?
- Je bent tussen de 50 en 55 en er wordt tegen je gezegd. Je kunt een normaal leven leiden. Ik heb hier een pot met 1666 pillen. Je moet er eentje nemen. Maar 1 van deze pillen is dodelijk. Wat doe je ?

Met andere woorden. Hoeveel is het je waard om een normaal leven te leiden? En dat leven is al dodelijk genoeg als ik de overheid mag geloven! We rijden in auto’s, vliegen in vliegtuigen, drinken alcohol, roken sigaretten, gebruiken verdovende middelen, we eten te vet, te zout, te zoet. Hebben rare hobby’s. En voor dat alles betalen we bakken met belasting of een zorgpremie die inmiddels compleet de pan uit gerezen is.

Ik heb als voorbeeld mn moeder genomen. Die zit in de categorie 70-75. Die zou 6 weken geleden tegen mij gezegd hebben, ben je helemaal gek geworden?? Terwijl ze vandaag zou zeggen ik pak er wel 2. Die van je vader ook meteen.

Ik zeg niet dat het zo is, ik zeg niet dat het zo moet. Maar dit is wel de kansen verhouding. En ik zeg voor een kans van 1 op 1.666 pak ik m ook...
jerommeke10
Amerikakenner
Berichten: 808
Lid geworden op: 18 jan 2011, 23:46

Re: Corona Virus / Oplossingen...

Bericht door jerommeke10 »

Helder. Maar naast sterfte worden mensen ook wel heel erg ziek, soms met blijvende gevolgen. Dat telt ook mee.
en laat iedereen dan zelf de keuze maken. En laat de overheid dan in de gaten houden hoe ver we hier in kunnen gaan en de capaciteit in de ziekenhuizen bewaken.
Dat is precies het probleem met jouw pottenverhaal. Je moet er een tweede pot bijzetten waaruit je dan een pil moet pakken indien pakweg 25% van de bevolking zou kiezen om in die eerste pot te grabbelen en de lockdown niet te volgen. En voor die tweede pot geldt dat je eigenlijk geen flauw idee hebt wat je kansen daar zijn. Als IC het niet meer aankan, ga je sterven wegens gebrek aan verzorging. En hoe meer mensen in de eerste pot graaien en doen alsof er niets aan de hand is, hoe minder schadeloze pillen er in de tweede pot zullen zitten. Met jouw cijfers gaat zowat iedereen aan de eerste pot zitten.

Kortom, als iedereen zelf de keuze kan maken dan komt IC m.i. per definitie in de problemen en dan zijn de sterftecijfers die je zelf vooropstelt helemaal niet meer realistisch en heeft iedereen eigenlijk een niet-gefundeerde beslissing genomen.

Daarom blijf ik bij mijn dada: de IC-capaciteit en 'flatten the curve" zijn allesbepalend. Het verbaast mij trouwens dat er niet harder gewerkt wordt naar het opdrijven van die capaciteit, bv. te verdubbelen of nog meer. Maar misschien is dat op korte termijn onmogelijk, dat weet ik niet.
Gebruikersavatar
Almere vak V
Amerika-expert
Berichten: 2994
Lid geworden op: 23 jan 2017, 23:37

Re: Corona Virus / Oplossingen...

Bericht door Almere vak V »

jerommeke10 schreef:
24 apr 2020, 13:38
Als IC het niet meer aankan, ga je sterven wegens gebrek aan verzorging.
Dus zal de overheid moeten bepalen hoe lang de pot open kan blijven. Als de deksel er weer opgaat betekent dat er teveel mensen in het ziekenhuis komen en blijven we weer thuis. Zodra de capaciteit in het ziekenhuis weer voldoende is kan de deksel weer van de pot. Volgens mij ook de manier, ik weet niet of het de enige manier is, om groepsimmuniteit op te bouwen.
georgesken
Amerikakenner
Berichten: 1205
Lid geworden op: 18 feb 2009, 12:15
Aantal x V.S. bezocht: 15

Re: Corona Virus / Oplossingen...

Bericht door georgesken »

Als je dit op macroniveau bekijkt is heel dit gedoe gewoon dwijlen met de kraan open. Er van uitgaand dat dit een natuurlijk ontstaan virus is, is dit weer moeder natuur die een poging onderneemt om het ras de mens wat te onderdrukken. We zijn gewoon met veel te veel . Om de paar jaar wat in tijd niks voorsteld steekt er een nieuw potentieel dodelijk virus de kop op ( het een al effectiever dan het andere). Maar telkens overwon de geneeskunde dit snel of was het virus niet krachtig/besmettelijk genoeg. Dit virus zullen we ook wel weer onder controle krijgen, zij het moeilijker dan de vorigen. Dus je kan er van op aan dat binnen enkele maanden/jaren/decennia er weer een sterker virus de kop opsteekt om een deel van wereldbevolking uit te roeien. Gaan we dan elke keer weer hetzelfde doen als nu? Deze economische crisis zullen uiteindelijk wel nog kunnen uitzweten, maar als we dit de komende 20-30 jaar nog eens gaan moeten doen, ziet de toekomst er veel minder rooskleurig uit.
1992: Florida, 2004: LA-LA, 2007:10d Vegas, 2008: DEN-LAS, 2010: 10d LA-LAS, 2011: florida+cruise, 2012: florida+cruise ,2013: florida + cruise, 2015: 6d Vegas + 5d NY, 2016+2017+2018+2019:7d Vegas, 2022 6d Vegas+3D Boston, 2024: 9d Vegas, 2024: WAS+NY
Gebruikersavatar
Almere vak V
Amerika-expert
Berichten: 2994
Lid geworden op: 23 jan 2017, 23:37

Re: Corona Virus / Oplossingen...

Bericht door Almere vak V »

Er zijn hier al een paar mensen die zich afgevraagd hebben sinds wanneer overlijden en dodelijke ziektes in enen geen deel meer uitmaken van het menselijke bestaan. Dan snap ik dat je dit in zoveel mogelijk gevallen wilt voorkomen. Eén van de betere eigenschappen van het menselijke ras. Tenminste bij de meeste. Maar om hier nu in ene je core-business van te maken en de rest van je land in de fik te steken gaat me net iets te ver. Zorgen dat je de controle houdt, zorgen dat het niet uit de bocht vliegt. Maar laten we alsjeblieft weer doorgaan met enigszins op een normale en als dat moet en kan op gepaste afstand van elkaar met adem halen.
Gebruikersavatar
Old Faithful
Amerika-expert
Berichten: 6104
Lid geworden op: 21 dec 2007, 14:38
Aantal x V.S. bezocht: 9

Re: Corona Virus / Oplossingen...

Bericht door Old Faithful »

Almere vak V schreef:
24 apr 2020, 14:27
jerommeke10 schreef:
24 apr 2020, 13:38
Als IC het niet meer aankan, ga je sterven wegens gebrek aan verzorging.
Dus zal de overheid moeten bepalen hoe lang de pot open kan blijven. Als de deksel er weer opgaat betekent dat er teveel mensen in het ziekenhuis komen en blijven we weer thuis. Zodra de capaciteit in het ziekenhuis weer voldoende is kan de deksel weer van de pot. Volgens mij ook de manier, ik weet niet of het de enige manier is, om groepsimmuniteit op te bouwen.
Dat is het knipperlichtmodel. Misschien is dit in de toekomst een optie als de periodes waarin "de pot open kan", lang genoeg zijn. Op dit moment is RO al enkele weken onder 0, zij het maar net en hij daalt niet verder, ondanks de maatregelen. Ik ben geen expert maar ik acht het daarom aannemelijk dat de situatie heel snel om kan slaan. We zullen risico moeten nemen, maar wel een gecalculeerd risico. Een situatie waarbij we binnen enkele maanden weer in een nieuwe crisissituatie inclusief bijbehorende lockdown terecht komen, lijkt me ook voor de economie desastreus. Ik denk dat we nu het beste stapsgewijs de maatregelen kunnen versoepelen, totdat we de balans gevonden hebben waarbij zoveel mogelijk activiteiten weer kunnen zonder dat de gezondheidszorg het begeeft. En dan maar hopen dat het niet te lang duurt tot er een vaccin of medicijn beschikbaar komt.

Overigens is m.i. jouw idee ook een variant op "flatten the curve": Sturen op de capaciteit van de gezondheidszorg, waarbij de reguliere zorg niet uit het oog mag worden verloren. De capaciteit zou nog uitgebreid kunnen worden, al zullen daar (personele) grenzen aan zijn.

Ik denk dat een vaccin de enige manier is om groepsimmuniteit op te bouwen. Als ik zie wat het heeft gekost om ongeveer 4% van de bevolking immuun te laten worden, denk ik niet dat we er binnen een aanvaardbare tijd in slagen 60 à 70% immuniteit in de bevolking te krijgen. Daar komt bij dat het nog zeer onzeker is hoe lang die immuniteit duurt. In het begin van de crisis werd groepsimmuniteit nog weleens genoemd maar ik hoor er de experts al weken niet meer over.
Groet,

Old Faithful
georgesken
Amerikakenner
Berichten: 1205
Lid geworden op: 18 feb 2009, 12:15
Aantal x V.S. bezocht: 15

Re: Corona Virus / Oplossingen...

Bericht door georgesken »

Ik zeg ook niet helemaal niet dat we nu niet alles moeten doen om zoveel mogelijk slachtoffers te voorkomen. Ik loopt perfect tussen de lijntjes die die voorgeschreven worden. Ik filosofeer (heb nu toch rijd te veel) over the bigger picture. Het is een natuurinstinct om jezelf en bij uitbreiding je eigen ras te redden. Maar er is ook een andere natuurwet die door de eeuwen heen altijd uiteindelijk de bovenhand nam en das de wet vd sterkste (of de slimste)
1992: Florida, 2004: LA-LA, 2007:10d Vegas, 2008: DEN-LAS, 2010: 10d LA-LAS, 2011: florida+cruise, 2012: florida+cruise ,2013: florida + cruise, 2015: 6d Vegas + 5d NY, 2016+2017+2018+2019:7d Vegas, 2022 6d Vegas+3D Boston, 2024: 9d Vegas, 2024: WAS+NY
Gebruikersavatar
Almere vak V
Amerika-expert
Berichten: 2994
Lid geworden op: 23 jan 2017, 23:37

Re: Corona Virus / Oplossingen...

Bericht door Almere vak V »

https://www.topics.nl/hoe-dodelijk-is-h ... ent=topics

Interessant artikel. Er sterven meer mensen onder de 65 aan kanker dan aan Corona. Blijft zaak om de boel in de juiste verhouding te zien...
ADE01
Amerikakenner
Berichten: 713
Lid geworden op: 15 mei 2016, 13:03
Aantal x V.S. bezocht: 8
Locatie: Austin

Re: Corona Virus / Oplossingen...

Bericht door ADE01 »

Deze informatie is ook wel interessant - informatie vanuit de regering (.gov website). Van de 6800 doden aan het virus in New York (tm 14 april) zijn er 312 onder de 44 jaar oud, dat is nog geen 5%. Slechts 3! zijn 17 of jonger. De Nederlandse regering heeft ook een dergelijk onderzoek gedaan naar jongere mensen dacht ik en daardoor besloten de scholen weer te openen, wat dus aardig lijkt te kloppen met deze cijfers. Helaas helpt het nieuws niet mee, ik zie regelmatig voorbij komen dat er bijv. een baby van 5 maanden is overleden door het virus. Dat zijn op basis van deze cijfers echt de absolute absolute uitzonderingen, maar dat wordt er niet bij vermeld.

Het aantal mensen zonder onderliggende medische problemen is ook meengenomen en de mensen die geen bestaande problemen hadden maar toch overlijden zijn ook vrij laag vind ik.

https://www1.nyc.gov/assets/doh/downloa ... 2020-1.pdf

Geen idee hoe je aan de hand van cijfers e.d. beleid wil toepassen want zoals eerder gezegd is de samenleving met jong en oud door elkaar verwoven, en daar ben ik het mee eens, maar het plaatst 1 en ander wel in perspectief.
Gebruikersavatar
Almere vak V
Amerika-expert
Berichten: 2994
Lid geworden op: 23 jan 2017, 23:37

Re: Corona Virus / Oplossingen...

Bericht door Almere vak V »

In Nederland zijn 13 mensen overleden onder de 45. Waarvan het merendeel met onderliggend lijden.
Plaats reactie
AllesAmerika.com Forum : Disclaimer